|
En matemáticas, los armónicos esféricos son funciones armónicas que representan la variación espacial de un conjunto ortogonal de soluciones de la ecuación de Laplace cuando la solución se expresa en coordenadas esféricas. Los armónicos esféricos son importantes en muchas aplicaciones teóricas y prácticas, en particular en la física atómica (dado que la función de onda de los electrones contienen armónicos esféricos), la teoría del potencial que resulta relevante tanto para el campo gravitatorio como para la electrostática. Conocimientos adicionales recomendados
Introducción
La ecuación de Laplace en coordenadas esféricas viene dada por:
(véase también nabla y laplaciano en coordenadas esféricas). Si en esta expresión se consideran soluciones particulares de la forma, Si a su vez se usa el método de separación de variables a esta última ecuación se puede ver que la ecuación anterior admite soluciones periódicas en las dos coordenadas angulares l es un número entero. Entonces la solución periódica del sistema anterior dependerá de los dos enteros (l, m) y vendrá dada en términos de funciones trigonométricas y de Polinomios de Legendre:
Donde Las coordenadas esféricas utilizadas en este artículo son consistentes con las utilizadas por los físicos, pero difieren de las utlizadas por los matemáticos (ver coordenadas esféricas). En particular, la colatitud θ, o ángulo polar, se encuentra en el rango
NormalizaciónExisten varias normalizaciones utilizadas para las funciones de armónicos esféricos. En física y sismología estas funciones son generalmente definidas como donde Estas funciones son ortonormalizadas
donde δaa = 1, δab = 0 si a ≠ b, (ver delta de Kronecker). Mientras que en las áreas de geodésica y análisis espectral se utiliza que posee una potencia unitaria
En temas de magnetismo, en cambio, se utilizan los armónicos de Schmidt semi-normalizados poseen la siguiente normalización
Utilizando la identidad (ver funciones asociadas de Legendre) se puede demostrar que todas las funciones armónicas esféricas normalizadas mencionadas en los párrafos anteriores satisfacen
donde el símbolo * significa conjugación compleja.
Convención de fase de Condon-ShortleyUna fuente de confusión con la definición de los esféricos armónicos es el factor de fase de Expansión en armónicos esféricosLos armónicos esféricos forman un conjunto completo ortonormal de funciones y por lo tanto forman un espacio vectorial análogo a vectores unitarios de la base. Sobre la esfera unitaria, toda función de cuadrado integrable puede, por lo tanto, ser expandida como una combinación lineal de:
Esta expansión es exacta siempre y cuando
Un conjunto alternativo de armónicos esféricos para funciones reales puede ser obtenido a partir del conjunto Estas funciones tienen las mismas propiedades de normalización que las funciones complejas indicadas previamente. En esta notación, una función real integrable puede ser expresada como una suma de armónicos esféricos de infinitos términos como
Análisis espectralLa potencia total de una función f es definida en la literatura de procesamiento de señales electrónicas como la integral de la función elevada al cuadrado, divida por el área que abarca. Usando las propiedades de ortonormalidad de las funciones esfericas armónicas de potencia real unitaria, es facil verificar que la potencia total de una función definida sobre la esfera unitaria se relaciona con sus coeficientes espectrales a través de una generalización del teorema de Parseval:
donde se define como el espectro de potencia angular. En forma similar, se puede definir la potencia cruzada entre dos funciones como
donde se define como el espectro cruzado en este caso. Si las funciones f y g tienen un valor promedio igual a cero (o sea los coeficientes espectrales f00 y g00 son nulos), entonces
Cuando β = 0, el espectro es "blanco" dado que cada grado posee idéntica potencia. Cuando β < 0, el espectro se denomina "rojo" ya que existe mayor potencia a grados bajos con longitudes de onda largas que a altos grados. Finalmente, cuando β > 0, el espectro es denominado "azul". Teorema de la sumaUn resultado matemático de sumo interés y utilidad es el llamado teorema de la suma para los armónicos esféricos. Dos vectores r y r', con coordenadas esféricas
El teorema de la suma expresa un polinomio de Legendre de orden l en el ángulo γ en términos de los productos de dos armónicos esféricos con coordenadas angulares
Esta expresión es válida tanto para los armónicos reales como para los complejos. Sin embargo, debe enfatizarse que la fórmula indicada previamente es válida solo para armónicos esféricos ortonormalizados. Para armónicos de potencia unitaria es necesario eliminar el factor 4π de la expresión anterior. Visualización de los armónicos esféricos
Los armónicos esféricos son fáciles de visualizar contando el número de cruces por cero que ellos tienen tanto en dirección de las latitudes como de las longitudes. Para la dirección en las latitudes, las funciones asociadas de Legendre tienen l − | m | ceros, mientras que en sentido longitudinal, las funciones trigonometricas seno y coseno tienen 2 | m | ceros. Cuando el armónico esférico de orden m es nulo o cero, las funciones armónicas esféricas no dependen de la longitud, y se dice que la función es zonal. Cuando l = | m | , no existen cruces por cero en sentido de las latitudes, y se dice que la función es sectorial. Para otro casos, las funciones forman un damero sobre la esfera. Ejemplos de los primeros armónicos esféricosExpresiones analíticas de los primeros armónicos esféricos ortonormalizados, que usan la convención de fase de Condon-Shortley:
GeneralizacionesEl mapa de los armónicos esféricos puede ser visto como representaciones de la simetría de grupo de rotaciones alrededor de un punto (SO(3)) y recubridor universal SU(2). Por lo tanto, capturan la simetría de la esfera de dos dimensiones. Cada grupo de armónicos esféricos con un valor dado del [[parámetro] l da lugar a una representación irreduble diferente del grupo SO(3). Además, la esfera es equivalente a la esfera de Riemann. El conjunto completo de simetrías de la esfera de Riemann se describen mediante el grupo de transformaciones de Möbius PSL(2,C), que es isomorfo al grupo de Lie real llamado grupo de Lorentz. El análogo del los armónicos esféricos con respecto al grupo de Lorentz es la serie hipergeométrica; de hecho, los armónicos esféricos pueden reescribirse en términos de la serie hipergeométrica, dado que SO(3) es un subgrupo de PSL(2,C). Más específicamente, se puede generalizar a la serie hipergeométrica para describir las simetrías de cualquier espacio de simetría; en particular, la serie hipergeométrica puede ser desarrollada para todo grupo de Lie[1] [2] [3] [4] Véase también
ReferenciasReferencias citadas
Referencias Generales
Enlaces Web
Software
--> Categoría: Mecánica cuántica |
|
| Este articulo se basa en el articulo Armónicos_esféricos publicado en la enciclopedia libre de Wikipedia. El contenido está disponible bajo los términos de la Licencia de GNU Free Documentation License. Véase también en Wikipedia para obtener una lista de autores. |




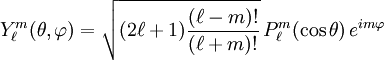
, la parte angular Y, se le denomina armónico esférico y satisface la relación:
,
se llama función armónica esférica de grado
y orden
es el polinomio asociado de Legendre,
representan las variables angulares (el ángulo azimutal o colatitud y polar o longitud, respectivamente).
y la longitud
. Por lo tanto,
y
.
,
.
.
,
, comúnmente identificado como la fase de Condon-Shortley en la literatura relacionada con
.
, y utilizando las relaciones de ortogonalidad indicadas previamente. Para el caso de armónicos ortonormalizados, se obtiene
.
.
,
,
y
.
y
, respectivamente, tienen un ángulo
.
y
:
.