|
Un proceso de expansión y compresión de gases donde la presión y el volumen se relacionen, como sucede a menudo, mediante una ecuación de la forma (1) PVn = C, Conocimientos adicionales recomendadosdonde n y C son constantes, se denomina proceso politrópico. Así pues, en un proceso de esta clase, el producto de la presión y la enésima potencia del volumen es una constante. Dicho de otro modo: si P1 y V1 son la presión y el volumen en un estado del proceso, y P2 y V2 son la presión y el volumen en otro estado del proceso, entonces (2) En un proceso politrópico tenemos pues que, al despejar (), la presión viene dada por (3) P = CV − n Puesto que el trabajo de frontera realizado desde el comienzo de la expansión o compresión hasta el estado final viene dado por
,
![]()
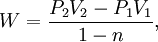
![]() una formula sencilla que permite obtener el trabajo realizado en un proceso politrópico para
.
Para el caso de un gas ideal, donde PV = mRT, la fórmula del trabajo en un proceso politrópico se convierte en
,Categoría: Procesos termodinámicos |
| Este articulo se basa en el articulo Proceso_politrópico publicado en la enciclopedia libre de Wikipedia. El contenido está disponible bajo los términos de la Licencia de GNU Free Documentation License. Véase también en Wikipedia para obtener una lista de autores. |




,
en el primer término y
en el segundo término (véase (
. Si
.
,