|
El ciclo de Carnot es un ciclo termodinámico ideal reversible entre dos fuentes de temperatura, en el cual el rendimiento es máximo. Fue estudiado por Sadi Carnot en su trabajo Reflections sur la puissance motrice de feu et sur les machines propres à developper cette puissance, de 1824. Una máquina térmica que realiza este ciclo se denomina máquina de Carnot. Trabaja absorbiendo una cantidad de calor Q1 de la fuente de alta temperatura y cede un calor Q2 a la de baja temperatura produciendo un trabajo sobre el exterior. El rendimiento viene definido, como en todo ciclo, por
y, como se verá adelante, es mayor que cualquier máquina que funcione cíclicamente entre las mismas fuentes de temperatura. Como todos los procesos que tienen lugar en el ciclo ideal son reversibles, el ciclo puede invertirse. Entonces la máquina absorbe calor de la fuente fría y cede calor a la fuente caliente, teniendo que suministrar trabajo a la máquina. Si el objetivo de esta máquina es extraer calor de la fuente fría se denomina máquina frigorífica, y si es aportar calor a la fuente caliente bomba de calor. Conocimientos adicionales recomendados
El ciclo de Carnot
El ciclo de Carnot consta de cuatro etapas: dos procesos isotermos (a temperatura constante) y dos adiabáticos (aislados térmicamente)
Trabajo del cicloPor convención de signos, un calor o un trabajo positivos significan que el trabajo se realiza sobre el sistema, mientras que un signo negativo significa lo contrario. Es decir, un trabajo negativo significa que el trabajo es realizado por el sistema. Con este convenio de signos el trabajo obtenido deberá ser, por lo tanto, negativo. Tal como está definido, y despreciando los cambios en energía mecánica, a partir de la primera ley:
Como dU (diferencial de la energía interna) es una diferencial exacta, el valor de U es el mismo al inicio y al final del ciclo, y es independiente del camino, por lo tanto la integral de dU vale cero, con lo que queda
Por lo tanto, en el ciclo el sistema ha realizado un trabajo sobre el exterior. Teoremas de Carnot1. No puede existir una máquina térmica que funcionando entre dos fuentes térmicas dadas tenga mayor rendimiento que una de Carnot.
2. Dos máquinas reversibles operando entre las mismas fuentes térmicas tienen el mismo rendimiento.
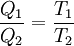
RendimientoA partir del segundo teorema de Carnot se puede decir que, como dos máquinas reversibles tienen el mismo rendimiento, este será independiente de la sustancia de trabajo de las máquinas, las propiedades o la forma en la que se realice el ciclo. Tan solo dependerá de las temperaturas de las fuentes entre las que trabaje. Si tenemos una máquina que trabaja entre fuentes a temperatura T1 y T2, el rendimiento será una función de las dos como variables:
Por lo tanto, el cociente entre los calores transferidos es función de las temperaturas de las fuentes. Nótese que como, por la segunda ley de la termodinámica, el rendimiento nunca pude ser igual a la unidad, la función f está siempre definida. Consideremos ahora tres máquinas que trabajan entre fuentes a temperaturas tales que T1 > T3 > T2. La primera máquina trabaja entre las fuentes 1 y 2, la segunda entre 1 y 3, y la tercera entre 3 y 2, de modo que desde cada fuente se intercambia el mismo calor con las máquinas que actúan sobre ella. Es decir, tanto la primera máquina como la segunda absorben un calor Q1, la segunda y la tercera ceden y absorben Q2 respectivamente y la primera y la tercera ceden Q3. De la ecuación anterior podemos poner, aplicada a cada máquina:
Aplicando relaciones matemáticas:
Como el primer miembro es función solamente de T1 y T2, también lo será el segundo miembro, independientemente de T3. Para que eso se cumpla f debe ser de la forma
De las distintas funciones que satisfacen esa condición, la más sencilla es la propuesta por Kelvin, Φ(T) = T, con lo que el cociente entre calores queda
y trasladando este cociente a la definición de rendimiento:
Otra forma de llegar a este resultado es por medio de la entropía, definida como
Como puede observarse, el calor transferido con la primera fuente es positivo y con la segunda negativo, por el convenio de signos adoptado. Teniendo en cuenta que para calcular el rendimiento de un ciclo se utilizan los valores absolutos de los trabajos y calores,
tenemos finalmente el resultado deseado:
Ciclo realTodos los procesos reales tienen alguna irreversibilidad, ya sea mecánica por rozamiento, térmica o de otro tipo. Sin embargo, las irreversibilidades se pueden reducir, pudiéndose considerar reversible un proceso cuasiestático y sin efectos disipativos. Los efectos disipativos se reducen minimizando el rozamiento entre las distintas partes del sistema y los gradientes de temperatura; el proceso es cuasiestático si la desviación del equilibrio termodinámico es a lo sumo infinitesimal, esto es, si el tiempo característico del proceso es mucho mayor que el tiempo de relajación (el tiempo que transcurre entre que se altera el equilibrio hasta que se recupera). Por ejemplo, si la velocidad con la que se desplaza un émbolo es pequeña comparada con la del sonido del gas, se puede considerar que las propiedades son uniformes espacialmente, ya que el tiempo de relajación mecánico es del orden de V1/3/a (donde V es el volumen del cilindro y a la velocidad del sonido), tiempo de propagación de las ondas de presión, mucho más pequeño que el tiempo característico del proceso, V1/3/w (donde w es la velocidad del émbolo), y se pueden despreciar las irreversibilidades. Si se hace que los procesos adiabáticos del ciclo sean lentos para minimizar las irreversibilidades se hace imposible frenar la transferencia de calor. Como las paredes reales del sistema no pueden ser completamente adiabáticas, el aislamiento térmico es imposible, sobre todo si el tiempo característico del proceso es largo. Además, en los procesos isotermos del ciclo existen irreversibilidades inherentes a la transferencia de calor. Por lo tanto, es imposible conseguir un ciclo real libre de irreversibilidades, y por el primer teorema de Carnot la eficiencia será menor que un ciclo ideal. Véase también
Bibliografía
Enlaces externos
Categoría: Ciclos termodinámicos |
|||||
| Este articulo se basa en el articulo Ciclo_de_Carnot publicado en la enciclopedia libre de Wikipedia. El contenido está disponible bajo los términos de la Licencia de GNU Free Documentation License. Véase también en Wikipedia para obtener una lista de autores. |





. Como el proceso es efectivamente reversible, la entropía aumentará



, y por definición
, donde
y
denotan el trabajo producido y el calor cedido a la fuente fría respectivamente, y los subíndices la máquina a la que se refieren.
, la máquina X puede suministrar a R el trabajo
que necesita para funcionar como máquina frigorífica, y X producirá un trabajo neto
. Al funcionar en sentido inverso, R está absorbiendo calor
de la fuente fría y está cediendo calor
a la caliente.
con una única fuente térmica, lo cual va en contra del segundo principio de la termodinámica. Por lo tanto:
.
para que trabaje como máquina frigorífica, y R2 producirá un trabajo
.
con una única fuente térmica, lo cual va en contra de la segunda ley. Por lo tanto: