|
El desdoblamiento a campo nulo o desdoblamiento a campo cero D, en magnetoquímica, es la diferencia de energía que separa, sin campo magnético aplicado y dentro de un mismo número cuántico de espín S, a los estados de diferente proyección sobre el eje z, Sz. Conocimientos adicionales recomendados
DescripciónEl hamiltoniano que describe a un sistema con desdoblamiento a campo nulo es el siguiente:
El primer término da cuenta de la pérdida de degeneración entre los términos de cada Sz, mientras que el segundo sirve para mantener la energía constante (que el efecto no altere la energía total del sistema). Así, para D=1, S=1, Ms=+1,-1, tendremos: y para D=1, S=1, Ms=0, tendremos:
Partiendo de una energía inicial de 0, tenemos dos niveles que se desestabilizan 1/3, y uno que se estabiliza 2/3. Como vemos por este ejemplo, D>0 implica que el estado de mínimo Ms es el fundamental. Análogamente, un D<0 conlleva un estado fundamental de máximo Ms. Si estamos describiendo el desdoblamiento de niveles provenientes de un único estado de espín, y sólo nos interesan las diferencias de energía, podemos omitir el segundo término:
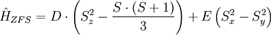
Desdoblamiento rómbicoEs posible encontrar, si la simetría o la distorsión es rómbica en lugar de axial, un término adicional al desdoblamiento a campo nulo D: el término rómbico E. En estos casos, el hamiltoniano es el siguiente:
Origen del fenómenoEste fenómeno se debe, en metales de transición e iones de tierrar raras, a una interacción espín-órbita de segundo orden (según la teoría perturbacional) con estados excitados. En radicales orgánicos se debe a interacción dipolar electrón-electrón. Los estados excitados pueden ser altamente anisótropos por interacción espín-órbita de primer orden λ. La mezcla del estado fundamental con estos estados tiene diferente peso según el valor de Ms, y, por tanto, origina un desdoblamiento de los niveles. Según sea la mezcla de niveles, el desdoblamiento a campo nulo conllevará un estado fundamental de Ms máximo (D < 0, con un eje de fácil imanación o mínimo (D > 0, con un plano de fácil imanación). Si hay elongación axial en la coordinación del ion metálico, un λ positivo implica un D < 0. Compresión axial y λ negativo tienen el mismo resultado, mientras que las otras dos combinaciones tienen el resultado opuesto (D > 0). ApariciónTípicamente, hablamos de un desdoblamiento a campo nulo en los complejos de UNIQ19846ede30586845-math-0000000E-QINU, que originan separación entre el estado Ms = 0 y los estados Otro caso típico: la combinación de los desdoblamientos en los iones UNIQ19846ede30586845-math-00000011-QINU en el Mn12 conlleva un eje de fácil imanación, que está en el origen de sus propiedades de imán monomolecular. En presencia de campoEn presencia de campo magnético, el desdoblamiento a campo nulo se mantiene, pero coexiste con el efecto Zeeman. A campos bajos, ambos efectos son igualmente importantes. La coexistencia de los dos fenómenos se aprovecha para la determinación de D por espectroscopia paramagnética electrónica. Categoría: Magnetoquímica |
|
| Este articulo se basa en el articulo Desdoblamiento_a_campo_nulo publicado en la enciclopedia libre de Wikipedia. El contenido está disponible bajo los términos de la Licencia de GNU Free Documentation License. Véase también en Wikipedia para obtener una lista de autores. |




y determina sus propiedades magnéticas.