|
La ley de los gases ideales es la ecuación de estado del gas ideal, un gas hipotético formado por partículas puntuales, sin atracción ni repulsión entre ellas y cuyos choques son perfectamente elásticos (conservación de momento y energía cinética). Los gases reales que más se aproximan al comportamiento del gas ideal son los gases monoatómicos en condiciones de baja presión y alta temperatura. Empíricamente, se observan una serie de relaciones entre la temperatura, la presión y el volumen que dan lugar a la ley de los gases ideales, deducida por primera vez por Émile Clapeyron en 1834.
Conocimientos adicionales recomendados
La Ecuación de EstadoLa ecuación que describe normalmente la relación entre la presión, el volumen, la temperatura y la cantidad (en moles) de un gas ideal es: Donde:
La Ecuación de Estado para gases realesHaciendo una correccion a la ecuación de estado de un gas ideal, es decir, tomando en cuenta las fuerzas intermoleculares y volumenes intermoleculares finitos, se obtiene la ecuaciòn para gases reales, tambien llamada ecuacion de Van der Waals: Donde:
Valores de R en diferentes unidades
Teoría cinética molecularDesarrollada por Ludwig Boltzmann y Maxwell. Nos indica las propiedades de un gas ideal a nivel molecular.
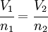
Ecuación general de los gases idealesPara una misma masa gaseosa (por tanto, el número de moles (n) es constante; n=cte), podemos afirmar que existe una constante directamente proporcional a la presión y volumen del gas, e inversamente proporcional a su temperatura. Procesos gaseosos particularesProcesos realizados manteniendo constante un par de sus cuatro variables (n, p , V, T), de forma que queden dos; una libre y otra dependiente. De este modo, la fórmula arriba expuesta para los estados 1 y 2, puede ser operada simplificando 2 o más parámetros constantes. Según cada caso, reciben los nombres: Ley de Boyle-MariotteTambién llamado proceso isotérmico. Afirma que, a temperatura y cantidad de materia constante, el volumen de un gas es inversamente proporcional a su presión: (n, T ctes.) Leyes de Charles y Gay-LussacEn 1802, Louis Gay Lussac publica los resultados de sus experimentos, basados en los que Jacques Charles hizo en el 1787. Se considera así al proceso isobárico para la Ley de Charles, y al isocoro (o isostérico) para la ley de Gay Lussac.
Ley de AvogadroEsta ley fue expuesta por Amedeo Avogadro en 1811 y complementaba a las de Boyle, Charles y Gay-Lussac. Asegura que en un proceso a presión y temperatura constante (isobaro e isotermo), el volumen de cualquier gas es proporcional al número de moles presente, de tal modo que: (T, P ctes.) Esta ecuación es válida incluso para gases ideales distintos. Una forma alternativa de enunciar esta ley es:
El volumen que ocupa un mol de cualquier gas ideal a una temperatura y presión dadas siempre es el mismo.
Referencias
Enlaces externos
Categoría: Principios y leyes químicas |
|||||||||||||
| Este articulo se basa en el articulo Ley_de_los_gases_ideales publicado en la enciclopedia libre de Wikipedia. El contenido está disponible bajo los términos de la Licencia de GNU Free Documentation License. Véase también en Wikipedia para obtener una lista de autores. |




= Presión
= Volumen
= Moles de gas
=
= Temperatura en Kelvin.
y
son Constantes determinadas por la naturaleza del gas con el fin de que haya la mayor congruencia posible entre la ecuaciòn de los gases reales y el comportamiento observado experimentalmente.