|
Conocimientos adicionales recomendadosAlgunos operadores están definidos sobre todo el espacio de Hilbert, estos operadores se llaman continuos o acotados. Sin embargo, otros operadores cuánticos están definidos solo sobre un dominio denso en el espacio de Hilbert, pero no en todo el espacio de Hilbert. Por ejemplo el operador hamiltoniano, que representa la energía del sistema, suele ser un operador no-acotado, lo cual se corresponde con el hecho físico de que muchos sistemas no imponen un límite superior para el valor de la energía
Operadores posición y momento linealResultan de especial interés las correspondencias entre la mecánica clásica y la cuántica de los operadores correspondientes a la posición y al momento lineal:
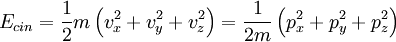
Así, por ejemplo, la energía cinética, que se desarrolla como:
al pasar los operadores a su versión cuántica queda de esta forma:
Conmutación de operadoresSe dice que dos operadores conmutan cuando cumplen:
Un teorema de importancia capital en la mecánica cuántica es el que sigue: "Si y solo si dos operadores conmutan, tienen un conjunto de funciones propias en común". Como se puede ver de forma muy sencilla a partir de las relaciones del apartado anterior, para una dirección espacial dada (digamos la x) los operadores posición y momento lineal no conmutan. Esto implica que no tienen ninguna función propia en común. Así pues, para cualquier función de ondas, si es posible determinar de forma reproducible la posición, en la determinación del momento lineal habrá siempre una contribución estadística. Este es un caso particular del principio de indeterminación de Heisenberg.
Representación matricial de un operadorSe dice que un operador
De esta forma, un operador lineal esta completamente determinado si se conoce su efecto sobre todo vector. Como cualquier vector se puede definir como combinación lineal de los vectores de una base completa (
, donde Oij es el componente del vector Categoría: Mecánica cuántica |
| Este articulo se basa en el articulo Operador_(mecánica_cuántica) publicado en la enciclopedia libre de Wikipedia. El contenido está disponible bajo los términos de la Licencia de GNU Free Documentation License. Véase también en Wikipedia para obtener una lista de autores. |




es lineal cuando, para cualquier x, y, se cumple:
), basta conocer como afecta un operador lineal a cada vector de una base completa para determinarlo completamente. Por otro lado, como
también es un vector, siempre se puede describir como:
. Estos componentes se pueden ordenar en forma de una matriz (cuadrada)
, que constituye otra descripción completa de