|
La ecuación de Dirac de ondas relativista de la mecánica cuántica fue formulada por Paul Dirac en 1928. Da una descripción de las partículas elementales de spin ½, como el electrón, y es completamente consistente con los principios de la mecánica cuántica y de la teoría de la relatividad especial. Además de dar cuenta del espín, la ecuación predice la ocurrencia de antipartículas. Conocimientos adicionales recomendados
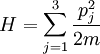
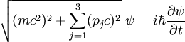
Forma de la ecuaciónYa que la ecuación de Dirac fue originalmente formulada para describir el electrón, las referencias se harán respecto a "electrones", aunque actualmente la ecuación se aplica a otros tipos de partículas elementales de spin ½, como los quarks. Una ecuación modificada de Dirac puede emplearse para describir de forma aproximada los protones y los neutrones, estos últimos formados por partículas más pequeñas llamadas quarks, y que por tanto no son partículas elementales. La ecuación de Dirac presenta la siguiente forma: siendo m la masa en reposo del electrón, c la velocidad de la luz, p el operador de momento, La ecuación de Dirac describe las amplitudes de probabilidad para un electrón solo. Esta teoría de una sola partícula da una predicción suficientemente buena del spin y del momento magnético del electrón, y explica la mayor parte de la estructura fina observada en las líneas espectrales atómicas. También realiza una peculiar predicción de que existe un conjunto infinito de estados cuánticos en que el electrón tiene energía negativa. Este extraño resultado permite a Dirac predecir, por medio de las hipótesis contenidas en la llamada teoría de los agujeros, la existencia de electrones cargados positivamente. Esta predicción fue verificada con el descubrimiento del positrón, el año 1932. A pesar de este éxito, la teoría fue descartada porque implicaba la creación y destrucción de partículas, enfrentándose así a una de las consecuencias básicas de la relatividad. Esta dificultad fue resuelta mediante su reformulación como una teoría cuántica de campos. Añadir un campo electromagnético cuantificado en esta teoría conduce a la moderna teoría de la electrodinámica cuántica (Quantum Electrodynamics, QED). Deducción de la ecuación de DiracLa ecuación de Dirac es una extensión al caso relativista de la ecuación de Schrödinger, que describe la evolución en el tiempo de un sistema cuántico: Por conveniencia, se trabajará en la base de posiciones, en que el estado del sistema es representado por la ecuación de onda ψ(x, t). En esta base, la ecuación de Schrödinger se formula de la siguiente manera: donde el hamiltoniano H denota un operador que actúa sobre una función de onda, y no sobre vectores de estado. Debe especificarse el hamiltoniano de forma que describa adecuadamente la energía total del sistema en cuestión. Sea un electrón "libre" aislado de campos de fuerza externos. En un modelo no relativista, se adopta una hamiltoniano análogo a la energía cinética de la mecánica clásica (de momento ignorando el spin): siendo p los operadores de momento en cada dirección del espacio j = 1, 2, 3. Cada operador de momento actúa sobre la función de onda como una derivada espacial: Para describir un sistema relativista, debe encontrarse un hamiltoniano diferente. Se asume que los operadores de momento conservan la definición anterior. De acuerdo con la famosa relación masa-momento-energía de Albert Einstein, la energía total de un sistema viene dada por la expresión: de la cual se deduce que Esta no es una ecuación satisfactoria, porque no trata por igual el espacio y el tiempo, uno de los principios básicos de la relatividad especial (el cuadrado de esta ecuación lleva a la ecuación de Klein-Gordon). Dirac razonó que, mientras la parte derecha de la ecuación contenía una derivada de primer orden respecto al tiempo, la parte de la izquierda debía contener igualmente una primera derivada respecto al espacio (i. e., los operadores de momento). Una posibilidad para obtener esta situación es que la cantidad de la raíz cuadrada sea un cuadrado perfecto. Considerando donde las α son constantes que deben ser determinadas. Elevando al cuadrado, y comparando coeficientes de cada término, se obtienen las siguientes condiciones por α: Aquí, I es el elemento identidad. Estas condiciones pueden sintetizarse en: donde {...} es el anticonmutador, definido como {A,B} ≡ AB+BA, y δ es la delta de Kronecker, que tiene valor 1 si los dos subíndices son iguales, y 0 en otro caso. Estas condiciones pueden no ser satisfechas si los α son números ordinarios, pero sí se cumplen si las α son determinadas matrices. Las matrices deben ser hermíticas, ya que el hamiltoniano es un operador hermítico. Las matrices más pequeñas que funcionan son las 4×4, pero hay más de una elección posible, o representación, de las matrices. Si bien la elección de la representación no puede afectar a las propiedades de la ecuación de Dirac, afecta al significado físico de las componentes individuales de la función de onda. Anteriormente se ha presentado la representación usada por Dirac. Una forma más compacta de describir esa representación es la siguiente: donde 0 e I son las matrices 2×2 cero (nula) e identidad, respectivamente; y σj's (j=1, 2, 3) son las matrices de Pauli Ahora es sencillo operar la raíz cuadrada, de la que se obtiene la ecuación de Dirac. El hamiltoniano de esta ecuación se denomina hamiltoniano de Dirac. Naturaleza de la función de ondaComo la función de onda ψ se representa por la matriz de Dirac 4×1, ha de ser un objeto de 4 componentes. Se verá en la próxima sección que la función de onda contiene dos conjuntos de grados de libertad, uno asociado a la energía positiva y otro a la negativa. Cada conjunto contiene dos grados de libertad que describen las amplitudes de probabilidad de que el spin sea hacia arriba o hacia abajo, según una dirección especificada. Se puede escribir explícitamente la función de onda como una matriz columna: La ecuación de la onda dual puede ser escrita como una matriz simple: donde el superíndice denota una conjugación compleja. La dualidad de una función de onda escalar (un componente) es un conjugado complejo. Como en la mecánica cuántica de una partícula única, el "cuadrado absoluto" de la función de onda da la densidad de probabilidad de la partícula en cada posición x, tiempo t. En este caso, el "cuadrado absoluto" es obtenido por multiplicación de matrices: La conservación de la probabilidad da la condición de normalización Aplicando la ecuación de Dirac, podemos examinar el flujo local de probabilidad: El flujo de probabilidad J viene dado por Multiplicando J por la carga del electrón e se obtiene la densidad de corriente eléctrica j llevada por el electrón. Los valores de las componentes de la función de onda dependen del sistema de coordenadas. Dirac mostró cómo ψ se transforma bajo cambios generales del sistema coordenado, incluyendo rotaciones en el espacio tridimensional, así como en las transformaciones de Lorentz entre los esquemas relativistas de referencia. Esto lleva a que ψ no se transforma como un vector, debido a rotaciones; y de hecho es un tipo de objeto conocido como espinor. Espectro de energíaEs instructivo hallar los estados propios de energía del Hamiltoniano de Dirac. Para ello, se resuelve la ecuación de Schrödinger independiente del tiempo: donde ψ es el fragmento independiente del tiempo de la autofunción (eigenfunction) de la la energía: Buscamos una solución de onda plana. Por conveniencia, se toma la z del eje como la dirección en que la partícula se está moviendo, como donde w es un espinor constante de cuatro componentes, y p es el momento de la partícula, tal y como podemos verificar aplicando el operador de momento a la función de onda. En la representación de Dirac, la ecuación por ψ0 disminuye en la ecuación de valores propios. Para cada valor de p, hay dos espacios propios, ambos de dos dimensiones. Un espacio propio contiene valores propios positivos, y el otro valores propios negativos, de la forma: El espacio propio positivo está estructurado por los estados propios: y el espacio propio negativo por los estados propios: Donde El primer estado propio de la estructura de cada espacio propio tiene spin apuntando en la dirección +z ("spin hacia arriba") y el segundo spin propio tiene spin apuntando en la dirección -z ("spin hacia abajo"). En el límite no relativista, la componente del espinor ε reduce la energía cinética de la partícula, que es insignificante comparada con pc: En este límite, por tanto, podemos interpretar los cuatro componentes de la función de onda como sus amplitudes respectivas del (I) spin hacia arriba con energía positiva, y el (II) spin hacia abajo con energía positiva, (III) spin hacia arriba con energía negativa, y (IV) spin abajo con energía negativa. Esta descripción no es muy exacta en el régimen de la relatividad, donde los componentes no nulos del espinor son de medidas similares. Teoría de agujerosLas soluciones negativas de E en la sección precedente son problemáticas: desde el punto de vista de la mecánica relativista, la energía de una partícula en reposo (p = 0) sería E = mc2 tanto como E = - mc2. Matemáticamente parece no haber motivo alguno para rechazar las soluciones correspondientes a energía negativa. Para afrontar este problema, Dirac introdujo una hipótesis (conocida como teoría de agujeros) según la cual el vacío es el estado más importante de los cuantos, en el que todos los estados propios de energía negativa del electrón están ocupados. Esta descripción del vacío, como un «mar» de electrones es llamada el mar de Dirac. El principio de exclusión de Pauli prohíbe a los electrones ocupar el mismo estado, cualquier electrón adicional sería forzado a ocupar un estado propio de energía positiva, y los electrones de energía positiva no podrían decaer a estados propios de energía negativa. Posteriormente Dirac razonó que si los estados propios de energía negativa están llenos de forma incompleta, cada estado propio no ocupado -llamado agujero- podría comportarse como una partícula cargada positivamente. El agujero tiene energía positiva, ya que se necesita energía para crear un par partícula-agujero a partir del vacío. Dirac en un principio pensaba que el agujero era un protón, pero Hermann Wey advirtió de que el agujero se comportaría como si tuviera la misma masa del electrón, mientras que el protón es mil veces más pesado. El agujero fue finalmente identificado como positrón, partícula descubierta experimentalmente por Carl Anderson en 1932. Por necesidad, la teoría de agujeros asume que los electrones de energía negativa en el mar de Dirac no interaccionan unos con otros, ni con los electrones de energía positiva. Con esta asunción, el mar de Dirac produciría una inmensa (de hecho, infinita) carga eléctrica negativa, la mayor parte de la cual de una forma u otra sería anulada por un mar de carga positiva debido a que el vacío permanece eléctricamente neutro. Sin embargo, es completamente insatisfactorio postular que los electrones de energía positiva pueden ser afectados por el campo electromagnético, mientras los electrones de energía negativa no lo son. Por este motivo, los físicos abandonaron la teoría de agujeros en favor de la teoría de campos de Dirac, que deja de lado el problema de los estados de energía negativa tratando los positrones como verdaderas partículas. (Caveat: en algunas aplicaciones de la física de la materia condensada, los conceptos basados en la «teoría de agujeros» son válidos). El mar de electrones de conducción, en un conductor eléctrico, llamado mar de Fermi, contiene electrones con energías más altas que el potencial químico del sistema. Un estado vacío en el mar de Fermi se comporta como un electrón cargado positivamente, si bien se remite tanto a un «agujero» como a un positrón. La carga negativa del mar de Fermi es equilibrada por la carga positiva de la reja iónica del material. Interacción electromagnéticaHasta aquí se ha considerado un electrón que no está en contacto con campos externos. Continuando por analogía con el hamiltoniano de una partícula cargada en la electrodinámica cuántica, se puede modificar el hamiltoniano de Dirac para incluir los efectos de un campo electromagnético. El hamiltoniano revisado es (en unidades del Sistema Internacional): donde e es la carga eléctrica del electrón y A y Φ son los potenciales electromagnéticos escalar y vectorial, respectivamente. Aquí, los potenciales se escriben como funciones del tiempo t y del operador de posición x. Esta es una aproximación semiclásica que es válida cuando las fluctuaciones cuánticas del campo (por ejemplo, la emisión y absorción de fotones) no son importantes. Dando a Φ el valor 0 y trabajando en el límite no relativista, Dirac solucionó para las dos primeras componentes en las funciones de onda de energía positiva (que son las compotentes dominantes en el límite no relativista), obteniendo donde B = Años después del descubrimiento de la ecuación de Dirac, la mayoría de físicos creían que también describía el protón y el neutrón, que también son partículas de spin -1/2. Sin embargo, desde los experimentos de Stern y Frisch en 1933, se descubrió que el momento magnético de estas partículas era notablemente diferente de las predicciones de la ecuación de Dirac. El protón tiene un momento magnético 2,79 veces mayor que la predicción (con la masa del protón puesta como m en las fórmulas mencionadas), i.e., un factor g de 5,58. El neutrón, que es elécticamente neutro, tiene un factor g de -3,83. Estos momentos magnéticos anormales fueron el primer indicio experimental de que el protón y el neutrón no eran partículas elementales. De hecho están compuestos de partículas más pequeñas llamadas quarks. Interacción hamiltonianaEs digno de tenerse en cuenta que el hamiltoniano puede ser escrito como suma de dos términos: H = H el + H int donde Hel es el hamiltoniano de Dirac para un electrón libre y Hint es el hamiltoniano de la interacción electromagnética. Este último se puede escribir como: Esto tiene el valor esperado donde ρ es la densidad de carga eléctrica y j es la densidad de corriente eléctrica. La integral en el último término es la densidad de energía de interacción. Eso es una cantidad escalar covariante relativista, como puede observarse escribiéndolo en términos del cuadrivector carga-corriente j = (ρc, j) y el cuatrivector del potencial A = (φ/c, A): Átomo hidrogenoide relativistaLa ecuación de Schrödinger aplicada a electrones es sólo una aproximación no relativista a la ecuación de Dirac que da cuenta tanto del efecto del spin del electrón. En el tratamiendo de Dirac de los electrones de hecho la función de onda debe substituirse por un espinor de cuatro componentes. Donde las funciones F y G se expresan en términos de funciones hipergeométricas: A modo de comparación con el caso no relativista se dan a continuación la forma explícita del espinor de funciones de onda del estado fundamental: El límite no relativista se obtiene haciendo tender El tratamiento de los electrones mediante la ecuación de Dirac sólo supone pequeñas correcciones a los niveles dados por la ecuación de Schrödinger. Tal vez el efecto más interesante es la desaparición de la degeneración de los niveles, por el efecto de la interacción espín-órbita consistente en que los electrones con valores diferentes del tercer número cuántico m (número cuántico magnético) tienen diferentes energía debido al efecto sobre ellos del momento magnético del núcleo atómico. De hecho los niveles energéticos vienen dados por:[1] Donde:
Si se prescinde de la energía asociada a la masa en reposo del electrón estos niveles pueden resultan cercanos a los predichos por la ecuación de Schrödinger, especialmente en el caso m = 0: Notación covariante relativistaVolvemos a la ecuación de Dirac para el electrón libre. A veces es conveniente escribir la ecuación en una forma covariante relativista, en la que las derivadas en el tiempo y el espacio se tratan al mismo nivel. Para hacer esto, debe tenerse en cuenta que el operador del momento p funciona como una derivada espacial: Multiplicando cada miembro de la ecuación de Dirac para a0 (recordando que α0²=I) y sustituyendo en la mencionada definición de p, se obtiene Ahora, se definen cuatro matrices gamma:
Estas matrices tienen la propiedad de que donde η, una vez más, es la métrica del espacio-tiempo plano. Estas relaciones definen un álgebra de Clifford denominada «álgebra de Dirac» La ecuación de Dirac puede ser ahora reformulada, usando el cuatrivector de posición-tiempo x = (ct, x), como O como Bibliografía
Artículos
Libros
Enlaces externos
|
|
| Este articulo se basa en el articulo Ecuación_de_Dirac publicado en la enciclopedia libre de Wikipedia. El contenido está disponible bajo los términos de la Licencia de GNU Free Documentation License. Véase también en Wikipedia para obtener una lista de autores. |




la constante de

×A es el campo magnético que actúa sobre la partícula. Esta es precisamente la
(por ejemplo: un factor g de spin igual a 2). El momento magnético real del electrón es mayor que eso, pero únicamente un 0,12% mayor. La diferencia se debe a las fluctuaciones cuánticas en el campo electromagnético, que pueden ser menospreciadas.
, es decir, haciendo tender la constante de estructura fina a cero.
, es la masa del
, son la
, son el número de protones del núcleo, el número cuántico principal y el número cuántico magnético.